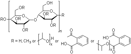
Hydroxypropyl Methyl Cellulose Phthalate
Specification of Product
Product Name : Hydroxypropyl Methyl Cellulose Phthalate (HPMCP)
Cas No.: 9050-31-1
Molecular formula: (C36H44O19)N

Hydroxypropyl Methyl Cellulose Phthalate Physical Data
HO55 HO555 HO-50
Viscosity,mPa.s 32-48 136-204 44-66
Free Phthalic Acid, % ≤ 1.0 ≤ 1.0
Phthaloyl Groups, % 27.0-35.0 21.0-27.0
Hydroxypropyl Groups, % 5.0-9.0 6.0-10.0
Methoxy Groups, % 18.0-22.0 20.0-24.0
Loss on Drying, % ≤ 5.0
Residue on Ignition, % ≤ 0.2
Chloride, % ≤ 0.07
Arsenic, % ≤ 2
Heavy Metals, % ≤ 0.001
Hydroxypropyl Methyl Cellulose Phthalate Properties
This product is an odorless and tasteless white powder or granules; the bulk density is 0.26-0.79g/cm3; it is soluble in organic solvents such as acetone, acetone/water (95/5), acetone/ethanol (1/1), dichloromethane/ethanol (1/1), ethanol/water (8/2), etc. It is insoluble in water and acidic buffer.
Packaging, transportation, and storage
Package:25Kgs/Bag or Drum.
This product should be stored in a dry, light-proof indoor warehouse to prevent moisture.
During the storage, transportation and loading and unloading of this product, avoid rain; avoid direct sunlight; ensure that it is dry and the packaging bag is not damaged or contaminated by other items; do not mix or store with toxic or harmful items; do not store at high temperatures.
Hydroxypropyl Methyl Cellulose Phthalate Applications
This product is an excellent enteric coating material with a defined viscosity and excellent gastric acid resistance. It is insoluble at pH 5.0-5.5. The dosage for tablets is 5%-10% by weight, with a concentration of 6%-8%. It is primarily used as a tablet and granule frame material, adhesive, implant, and flavor enhancer. It is also widely used in aquaculture, industry, and biotechnology.
Coating Solution Preparation: The HPMCP concentration is generally 3-6% of the total solution weight. Organic solvents used include chloromethane/ethanol (1/1), acetone/ethanol (1/1), and ethanol/water (8/2).
Dissolution Method: Add a predetermined amount of solvent to a container. While stirring, slowly add the HPMCP, stirring evenly, and allow to dissolve for 20-50 minutes. HPMCP dosage is generally 6-10% of the tablet core weight.